Yulia Skripal soll Nervengift im Koffer mitgebracht haben
Foto: Andrew Matthews/PA Wire/dpa
Soldaten tragen Schutzanzüge während der Ermittlungen zur Vergiftung des Ex-Doppelagent Skripal und dessen Tochter.
Einem Medienbericht zufolge könnte die Tochter des russischen Doppelagenten Sergej Skripal das Nervengift, das beide fast tötete, unwissentlich in ihrem Koffer aus Russland mitgebracht haben.
Yulia Skripal soll Nervengift im Koffer mitgebracht haben
Einem Medienbericht zufolge könnte die Tochter des russischen Doppelagenten Sergej Skripal das Nervengift, das beide fast tötete, unwissentlich in ihrem Koffer aus Russland mitgebracht haben.
(dpa/mth) - Das für das Attentat auf den Ex-Doppelagenten Sergej Skripal verwendete Nervengift ist möglicherweise im Koffer seiner Tochter versteckt worden. Davon gingen Geheimdienstkreise aus, berichtete die britische Zeitung „The Daily Telegraph“ am Freitag.
Die extrem gefährliche Substanz Nowitschok wurde demnach bei einem Aufenthalt von Yulia Skripal in Moskau heimlich in ihrem Koffer deponiert - in einem Kleidungsstück, einem Kosmetikprodukt oder einem Geschenk. Als sie anschließend ihren Vater in Großbritannien besuchte, soll sie dem Bericht zufolge unwissentlich das Gift freigesetzt haben. Eine klare Quelle nannte die Zeitung aber nicht.
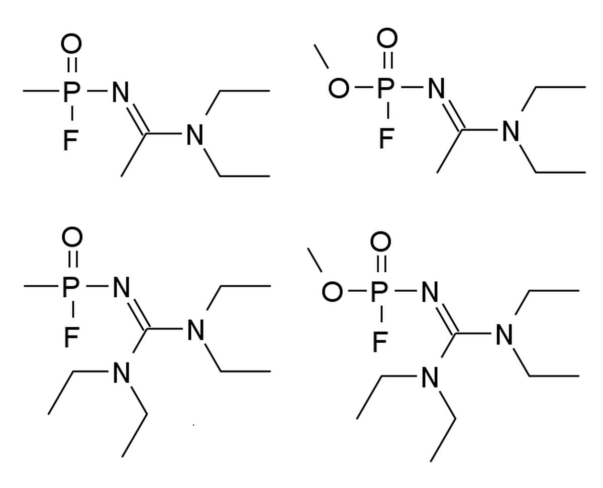
Die angenommenen Strukturformeln einiger Nowitschok-Varianten. Die genaue Struktur wird auch im Westen bis heute geheim gehalten.
Foto: Wikimedia Commons/PD / Meodipt
Vater (66) und Tochter (33) waren vor über zwei Wochen bewusstlos auf einer Parkbank in der südenglischen Kleinstadt Salisbury entdeckt worden. Sie sollen sich weiter in einem kritischen Zustand befinden.
Premierministerin Theresa May hatte am Donnerstag Salisbury besucht, um mit Polizei, Rettungskräften und Anwohnern zu sprechen und sich über den Gesundheitszustand der Opfer zu informieren.
Eine offizielle Stellungnahme, wie es den beiden geht, gab sie aber nicht ab.
Die Nowitschok-Nervengifte wurde in der früheren Sowjetunion produziert. Daher glaubt London, dass Moskau hinter dem Attentat steckt. Russland wies die Vorwürfe vehement zurück. Deutschland, Frankreich und die USA stellten sich hinter Großbritannien. Am Freitag sicherte der australische Premierminister Malcolm Turnbull in einem Telefonat May Rückhalt zu, wie Downing Street mitteilte.
Der Chef der oppositionellen Labour-Partei, Jeremy Corbyn, warnte vor einer vorschnellen Verurteilung Moskaus. Auch mafia-ähnliche Banden in Russland könnten für die Tat verantwortlich sein, sagte er in Interviews. Ein „neuer kalter Krieg“ müsse verhindert werden. Für seine Äußerungen wurde Corbyn auch in der eigenen Partei kritisiert.
Der Streit zwischen London und Moskau nimmt weiter an Schärfe zu. Britische Soldaten sollen vorsichtshalber gegen Milzbrand geimpft werden. Plant Moskau eine Ausweisung britischer Diplomaten?
Nach dem Nervengift-Attentat auf den früheren russischen Doppelagenten Sergej Skripal zieht London nun erste Konsequenzen und weist 23 russische Diplomaten aus.
Nikolai Gluschkow war ein Vertrauter von Putin-Kritiker Boris Beresowski. Beresowski ist tot, Gluschkow jetzt auch - er wurde tot in seinem Londoner Haus gefunden. Die britische Regierung will jetzt alte Fälle wieder aufrollen.
Britische Ermittler arbeiten mit Hochdruck am Fall des vergifteten russischen Ex-Spions Sergej Skripal. Trotzdem sind viele Fragen offen. Sollte sich der Verdacht gegen Moskau erhärten, stünde London unter Druck, zu reagieren.
Die britische Polizei arbeitet mit Hochdruck an der Aufklärung des Nervengift-Attentats auf den russisch-britischen Ex-Doppelagenten Skripal. Nach einer Sitzung des Sicherheitskabinetts bleiben viele Fragen offen. Aber London will mit „voller Macht“ antworten.
Neben den Anschlagsopfern Sergej Skripal und seiner Tochter Yulia werden die Polizisten, die den beiden zur Hilfe eilten, wegen Vergiftungserscheinungen behandelt.
Das politische Ränkespiel rund um den Shutdown in Washington treibt immer neue Blüten. Derweil müssen 800.000 Menschen zusehen, wie sie sie sich und ihre Familien ernähren. Nach Lage der Dinge bleibt auch die zweite Gehaltszahlung in Folge aus.
Mehrere südamerikanische Staaten sowie Kanada sind dem Beispiel der USA gefolgt und haben Juan Guaidó offiziell als Interimspräsidenten Venezuelas anerkannt. Die EU hält sich dagegen zurück.
Die Staatskrise in Venezuela steht vor der völligen Eskalation. Staatschef Nicolás Maduro beharrt auf seiner Präsidentschaft und der Souveränität Venezuelas. Die diplomatischen Beziehungen zu den USA sind abgebrochen.
Der junge Parlamentschef Guaidó stellt die Macht von Präsident Maduro offen in Frage. Die Unterstützung der internationalen Gemeinschaft ist ihm sicher. Doch Maduro kann noch immer auf die Hilfe des mächtigen Militärs setzen.
Der bereits 2017 gestellte Austrittsantrag des Vereinigten Königreichs hat auf die gemeinsame Asylpolitik keinen Einfluss, bekräftigte der Europäische Gerichtshof am Mittwoch in Luxemburg.
Das politische Ränkespiel rund um den Shutdown in Washington treibt immer neue Blüten. Derweil müssen 800.000 Menschen zusehen, wie sie sie sich und ihre Familien ernähren. Nach Lage der Dinge bleibt auch die zweite Gehaltszahlung in Folge aus.
Mehrere südamerikanische Staaten sowie Kanada sind dem Beispiel der USA gefolgt und haben Juan Guaidó offiziell als Interimspräsidenten Venezuelas anerkannt. Die EU hält sich dagegen zurück.
Die Staatskrise in Venezuela steht vor der völligen Eskalation. Staatschef Nicolás Maduro beharrt auf seiner Präsidentschaft und der Souveränität Venezuelas. Die diplomatischen Beziehungen zu den USA sind abgebrochen.
Der junge Parlamentschef Guaidó stellt die Macht von Präsident Maduro offen in Frage. Die Unterstützung der internationalen Gemeinschaft ist ihm sicher. Doch Maduro kann noch immer auf die Hilfe des mächtigen Militärs setzen.
Der bereits 2017 gestellte Austrittsantrag des Vereinigten Königreichs hat auf die gemeinsame Asylpolitik keinen Einfluss, bekräftigte der Europäische Gerichtshof am Mittwoch in Luxemburg.